Política
Publicado em 03/07/2023, às 18h01 Redação BNews
A vereadora Marta Rodrigues (PT) voltou a contestar uma fala do prefeito Bruno Reis (UB) em relação ao pagamento das emendas impositivas municipais, das quais o gestor alega que não existem no orçamento do município.
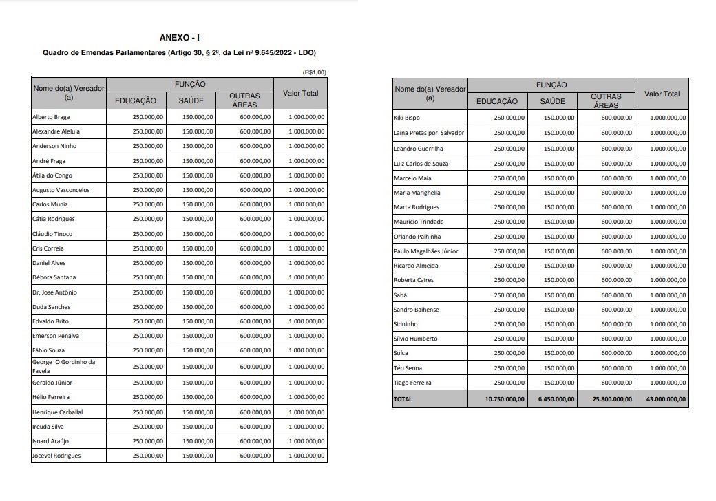
De acordo com Marta, que apresentou uma suposta tabela com os nomes dos 43 vereadores da Câmara Municipal e os valores que seriam destinados a eles para investimento nas áreas de saúde, educação, entre outras, totalizando R$ 43 milhões, divididos em R$ 1 milhão para cada parlamentar.
"Se o gestor disse que não existe regulamentação no orçamento, a Lei Orçamentária Anual (LOA) no Quadro de Emendas Parlamentares de 2023... O prefeito executa [apenas] dos vereadores da sua base, e oposição não", disse a parlamentar.

Na última semana, a vereadora havia comparado o prefeito ao irmão dela, Jerônimo Rodrigues (PT), governador do Estado, que pagou recentemente as emendas impositivas aos deputados estaduais da Assembleia Legislativa da Bahia (Alba).
“Um outro debate que deixa a gente bem engasgado é o caso das emendas impositivas. Nunca foram liberadas nenhuma das emendas impositivas. E aí eu tive que comparar com o que aconteceu no governo do estado, com o governador Jerônimo Rodrigues (PT), que há mais ou menos uns 10 dias, independente da coloração partidária, liberou todas as emendas de quem apresentou emendas impositivas. Isso é que é democratização da lei. Se o prefeito foi eleito, nós também fomos. A gente quer ser respeitado”, disse Marta.
Classificação Indicativa: Livre
Cupom de lançamento
Imperdível
Super desconto
Café perfeito
famoso copo